交通関係統計資料
ホーム
>
オープンデータ
>
統計情報
>
交通関係統計資料
>
自動車輸送統計調査
自動車輸送統計調査
推計方法
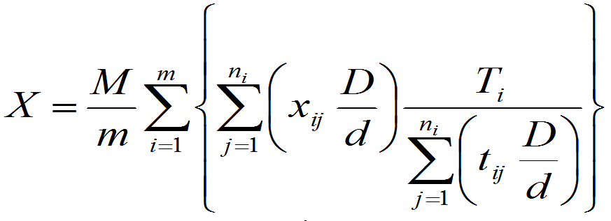
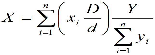
営業用貨物自動車については、単純推計方式(輸送トン数等)及び輸送トン数を補助変量として活用する比推定方式
(輸送トンキロ等)により集計を行っています。
【輸送トン数等】
【輸送トンキロ等】
営業用貨物自動車以外については、自動車検査登録情報のデータを補助変量として活用する比推定方式により
集計を行っています。
国土交通省総合政策局情報政策課交通経済統計調査室
電話 :
03-5253-8111(内線03-5253-8347)
統計資料について
最新統計表
公表予定
ご協力のお願い
オンライン申請
English
国土交通省HP
統計情報
正誤情報
資料のご利用